今天是 
服务热线 服务热线电话:

0575-85147453

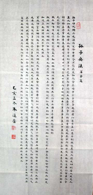
朱道荣书法“孙子兵法甲争篇“

作品名称:朱道荣书法“孙子兵法甲争篇“
作者:朱道荣
年份:乙亥1995年
规格尺寸:94*45
材质:宣纸
作品编号:sf0148

朱道荣(1920—2000), 浙江宁波人。书法家。四川省老年书画研究会会员, 省硬笔书法协会会员, 宜宾市书法协会常务理事, 南溪县老年书画研究会常务副会长, 县书协副主席。南溪县政协第三、六届委员。南溪县财政局干部退休。

自幼喜爱书法, 对颜、王字体研习最勤。朱字在颜体基础上创新, 体态如鼓, 用笔明断而暗连, 形静而意动, 有鲜明的艺术个性, 时人多以“朱体”相称。所书小楷, 神形兼备, 独树一格。张爱萍将军亲笔给信, 盛赞朱“书法功底之深, 甚为敬佩”。

退休后参加全国各级书展和大赛, 获奖67次, 作品去美国洛杉矶和法国巴黎展出, 获得全国文联颁发的书法二级评定证书。部分作品被山西田横故里、河北墨缘碑林、苏州玄妙观、四川青城山、总政老干部学院、北京亚运村、四川省军区等名胜古迹单位和军事学术机关收藏。

论文发表在《四川政协报》《硬笔书法报》《神州艺苑》《写字之友》等刊物。用铁笔誊写《孙子兵法十三篇》, 全文裱成横幅, 整篇六千余字, 端庄秀丽, 在绍兴兰亭展出, 被兰亭文管所收藏。1991年应邀出席绍兴“兰亭朝圣”活动, 当选为会员代表, 特邀登台, 同大书法家黄若舟、卢前教授合影。

据不完全统计, 从1980年起应酬和馈赠友人的书法作品达1253件。被评为宜宾地区书法协会优秀会员。1992年《硬笔书法报》《四川政协报》报道了他的书法事迹, 南溪县电视台也报道他的艺术活动。业绩载入《中国硬笔书法家辞典》。1994年入编《中国当代艺术界名人录》第二卷。1997年,写下“紫荆盛开迎回归” 七个大字, 并用蝇头小楷作了较长的跋语, 在成都锦江大礼堂展出, 并被选入《百年梦圆》书画专辑。

朱道荣虽是浙江人,但大半生工作、居住在南溪,长期默默耕耘,促进了南溪三个文明建设。


在线询价

导航栏目

联系我们

联系人:寿老师

手 机:15967553662

邮 箱:goodsbl@sina.com

公 司:绍兴山阴会稽书画院

地 址:浙江省绍兴市越城区人民中路唐家弄7号

用手机扫描二维码关闭
二维码